新手必读:
快速导航 关闭

加入上海成考网-成人高考报名交流群

免费获取成考最新资讯和资料

+关注
报考指南
招生院校
辅导资料
首页 > 辅导资料 > 历年真题
首页 > 辅导资料 > 历年真题

2020年成人高考高起点《文科数学》模拟试卷(二)

上海成考网-成人高考报名 上海成考 2023-07-12 12:49:25 交流群+

【摘要】单项选择题(本大题共17小题,每小题5分,共85分.在每小题给出的四个选项中,只有一项是符合题目要求的) 1.( )A. B. C.2,2D.2,1 2.( ) A. B. C. D. 填空题(本大题共4小题,每小题4分,共16分

单项选择题(本大题共17小题,每小题5分,共85分.在每小题给出的四个选项中,只有一项是符合题目要求的)

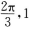
  1.( )A.

2020年成人高考高起点《文科数学》模拟试卷(二)(图1)

  B.

2020年成人高考高起点《文科数学》模拟试卷(二)(图2)

  C.2π,2D.2π,1

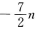
  2.( )

  A.

2020年成人高考高起点《文科数学》模拟试卷(二)(图3)

  B.

2020年成人高考高起点《文科数学》模拟试卷(二)(图4)

  C.

2020年成人高考高起点《文科数学》模拟试卷(二)(图5)

  D.

2020年成人高考高起点《文科数学》模拟试卷(二)(图6)

  填空题(本大题共4小题,每小题4分,共16分.把答案填在题中横线上.)

  1.(填空题)函数y=4x3-9x2+6x+1的驻点是__________

  2.(填空题) 某学科的一次练习中,第一小组5个人成绩如下(单位:分):98,89,70,92,90,则分数的样本方差为__________.

  解答题(本大题共4小题。共49分.解答应写出推理、演算步骤)

  1.已知二次函数ƒ(x)=ax2+bx+c的图象C与x轴有两个交点,它们之间的距离为6,C的对称轴方程为x=2,且ƒ(x)有最小值-9,求: (Ⅰ)a,b,c的值; (Ⅱ)如果ƒ(x)不大于7,求对应x的取值范围.

  2.设三个数a,b,c成等差数列,其和为6,又a,b,c+1成等比数列,求此三个数.

⊙ TAG:

转载请注明:文章转载自  上海成考网-成人高考报名 shck.net.cn
本文地址: https://www.ckb.net.cn/lnzt/3999.html

提示:系统将安排老师联系您,请保持手机畅通!

上海成考网-成人高考报名交流群

扫一扫加学生交流群

与成考学生自由互动、并且能直接与资深老师进行交流、解答
上海成考网

扫一扫加学生交流群

加上海成考网-成人高考报名微信,回复“福利”即可申请学费优惠
网站介绍 联系我们 网站地图 用户协议

沪ICP备2023014866号

考生在线咨询

成考网微信公众号 微信交流群二维码
返回顶部∧

在线咨询

考试科目

招生问答

考试提醒

报名咨询

成绩查询