新手必读:
快速导航 关闭

加入上海成考网-成人高考报名交流群

免费获取成考最新资讯和资料

+关注
报考指南
招生院校
辅导资料
首页 > 辅导资料 > 历年真题
首页 > 辅导资料 > 历年真题

2017成人高考专升本高数试题及答案分析

上海成考网-成人高考报名 上海成考 2023-07-12 12:48:38 交流群+

【摘要】以下是2017年成人高考专升本高数试题及答案和分析。希望对大家有所帮助。

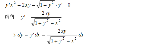
2017成人高考专升本高数试题及答案分析(图1)

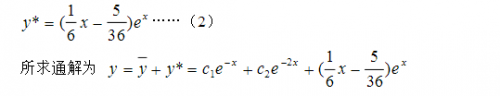
2017成人高考专升本高数试题及答案分析(图2)

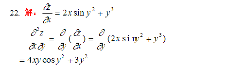
2017成人高考专升本高数试题及答案分析(图3)

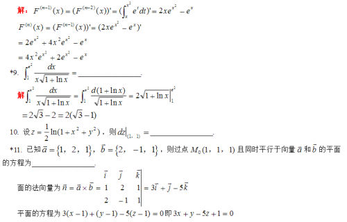
2017成人高考专升本高数试题及答案分析(图4)

2017成人高考专升本高数试题及答案分析(图5)

2017成人高考专升本高数试题及答案分析(图6)

2017成人高考专升本高数试题及答案分析(图7)

2017成人高考专升本高数试题及答案分析(图8)

2017成人高考专升本高数试题及答案分析(图9)

2017成人高考专升本高数试题及答案分析(图10)

2017成人高考专升本高数试题及答案分析(图11)

2017成人高考专升本高数试题及答案分析(图12)

2017成人高考专升本高数试题及答案分析(图13)

2017成人高考专升本高数试题及答案分析(图14)

2017成人高考专升本高数试题及答案分析(图15)

2017成人高考专升本高数试题及答案分析(图16)

2017成人高考专升本高数试题及答案分析(图17)

2017成人高考专升本高数试题及答案分析(图18)

2017成人高考专升本高数试题及答案分析(图19)

2017成人高考专升本高数试题及答案分析(图20)

2017成人高考专升本高数试题及答案分析(图21)

2017成人高考专升本高数试题及答案分析(图22)

2017成人高考专升本高数试题及答案分析(图23)

2017成人高考专升本高数试题及答案分析(图24)

2017成人高考专升本高数试题及答案分析(图25)

2017成人高考专升本高数试题及答案分析(图26)

2017成人高考专升本高数试题及答案分析(图27)

2017成人高考专升本高数试题及答案分析(图28)

⊙ TAG:

转载请注明:文章转载自  上海成考网-成人高考报名 shck.net.cn
本文地址: https://ckb.net.cn/lnzt/3835.html

提示:系统将安排老师联系您,请保持手机畅通!

上海成考网-成人高考报名交流群

扫一扫加学生交流群

与成考学生自由互动、并且能直接与资深老师进行交流、解答
上海成考网

扫一扫加学生交流群

加上海成考网-成人高考报名微信,回复“福利”即可申请学费优惠
网站介绍 联系我们 网站地图 用户协议

沪ICP备2023014866号

考生在线咨询

成考网微信公众号 微信交流群二维码
返回顶部∧

在线咨询

考试科目

招生问答

考试提醒

报名咨询

成绩查询